上海金畔生物科技有限公司代理AAT Bioquest荧光染料全线产品,欢迎访问AAT Bioquest荧光染料官网了解更多信息。
- 产品参数
- 产品详情
Amplite 马来酰亚胺定量试剂盒 比色法
简要概述
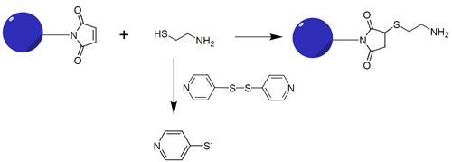
Amplite 马来酰亚胺定量试剂盒是美国AAT Bioquest生产的马来酰亚胺定量试剂盒,马来酰亚胺可以在302nm下通过分光光度法直接测定。但是,620M-1cm-1的小消光系数使得该测定不敏感,并且该测定由于在相同波长下的蛋白质吸光度而进一步复杂化。该比色马来酰亚胺测定试剂盒通过首先使样品与过量硫醇反应,然后使用摩尔消光系数为19,800M -1 cm -1的4,4′-DTDP测定剩余的未反应的硫醇来定量马来酰亚胺基团。马来酰亚胺的量计算为所有马来酰亚胺基团完全反应后硫醇的初始量与未反应的硫醇的量之间的差值。用于测定马来酰亚胺基团的该分光光度测定法是反向GSH测定法。它利用了GSH的硫醇与马来酰亚胺部分的高反应性。使样品的马来酰亚胺与GSH形成稳定的硫代琥珀酰亚胺基键。在样品反应完成后,通过使用4,4′-DTDP估算过量的GSH,即反应混合物中剩余的GSH硫醇。滴定与样品反应的GSH的量以确定马来酰亚胺的程度。对于更灵敏的马来酰亚胺定量,我们建议您使用具有更高灵敏度的荧光测定试剂盒#5523。金畔生物是AAT Bioquest的中国代理商,为您提供优质的Amplite 马来酰亚胺定量试剂盒。
产品说明书
样品实验方案
溶液配制
1.储备溶液配制
未使用的储备溶液应分成一次性等分试样,并在制备后储存在-20°C。 避免反复冻融循环。
1. 1 MEA原液(500X):
将200μL蒸馏水加入MEA小瓶(组分A)中。 注意:10μL的500X MEA储备溶液足以进行50次反应(0.5 mL /反应)。 未使用的500X MEA储备溶液应分成单次使用的等分试样,储存在-20℃并避光。
1.2 4,4′-DTDP储备溶液(50X):
将1mL DMSO(组分D)加入到4,4′-DTDP(组分B)的小瓶中,并充分混合。 注意:100μL50X4,4′-DTDP储备溶液足以进行10次反应(0.5 mL /反应)。 未使用的50X 4,4′-DTDP储备溶液应分成单次使用的等分试样,储存在-20℃并避光。
2.工作溶液配制
2.1 MEA工作溶液配制:
将10μLMEA储备溶液(500X)加入5mL蒸馏水中,并充分混合。注意:MEA工作溶液不稳定,我们建议随用随配。
操作步骤(以下推荐的方案适用于Cuvette)
1.设置3个总SH管:向每个管中加入400μL测定缓冲液(组分C)和100μLMEA工作溶液,并在室温下孵育20分钟。
2.为每个样品设置3个试管:加入0.05mg测试样品和足够的测定缓冲液(组分C),使总体积为400μL/管。向每个管中加入100μLMEA工作溶液,在室温下孵育20分钟。
3.测量作为空白对照的测定缓冲液(组分C)在324nm处的吸光度。
4.在管仍在孵育时(从步骤1开始)继续进行总SH测定。向每个总SH管中加入10μL50X4,4′-DTDP储备溶液,并在室温下孵育2分钟。注意:不要将50X 4,4′-DTDP储备溶液添加到含有样品的试管中。
5.在不洗涤比色杯的情况下测量3个总SH管在324nm处的吸光度。记录读数并将它们平均为“ODTSH”
6.清洁比色皿并读取 个样品管(来自步骤2)在324nm(OD0)的吸光度,然后加入任何4,4′-DTDP储备溶液(50X)。
7.将10μL4,4′-DTDP储备溶液(50X)加入样品比色杯(来自步骤6)并充分混合。将样品在室温下孵育2分钟并读取324nm处的吸光度(OD)。清洁比色皿,并对剩余的管重复步骤6和7。记录所有读数。
数据分析
计算每个样品的马来酰亚胺基团数(曲线作为例子)。
1.计算每个管的ΔOD:
ΔOD= ODTSH – [OD-OD0] = ODTSH + OD0-OD
2.计算每个样品的马来酰亚胺:
(马来酰亚胺的摩尔数)/(共轭物)=([(ΔOD)/(DTDP在324nm的消光系数)]×样品体积(L))/([共轭重量] / [共轭物的分子量])
=([ΔOD÷19,800]×0.51mL÷1000)/([共轭重量mg÷1000] / [共轭物的分子量])
=([ΔOD]×[共轭物的分子量])/([共轭重量mg]×38824)
