上海金畔生物科技有限公司代理AAT Bioquest荧光染料全线产品,欢迎访问AAT Bioquest荧光染料官网了解更多信息。
- 产品参数
- 产品详情
产品详情
Product details
iFluor 647 TCO

简要概述
产品基本信息
货号:1011
产品名称:iFluor™ 647 TCO
规格:1 mg
储存条件:-15℃避光防潮
保质期:12个月
产品物理化学光谱特性
分子量:1181.33
外观:固体
溶剂:DMSO
Ex(nm):656
Em(nm):670
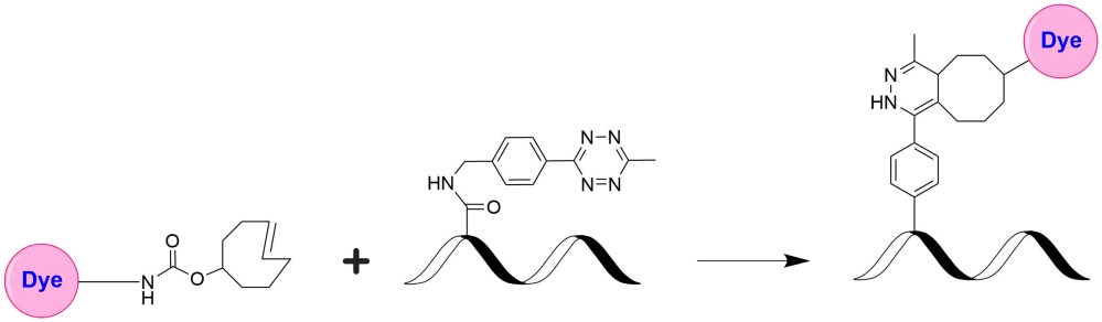
产品介绍
TCO的连接构成了快速无毒的生物分子标记方法。四嗪功能化的分子与TCO功能化的分子反应,通过二氢吡嗪部分形成稳定的结合物。由于其极快的动力学,它已获得普及。AAT Bioquest提供了一组含四嗪和TCO的染料,用于探索可以利用这种强大点击反应的各种生物系统。iFluor™647-TCO可轻松用于标记四嗪改性的生物分子,用于荧光成像和其他基于荧光的生物应用。用iFluor™647染料制备的结合物具有与流行的Cy5和AlexaFluor®647几乎相同的光谱特性。