上海金畔生物科技有限公司代理AAT Bioquest荧光染料全线产品,欢迎访问AAT Bioquest荧光染料官网了解更多信息。
钙离子荧光探针Cal-590-Dextran Conjugate *MW 10,000*
![]() |
货号 | 20509 | 存储条件 | 在零下15度以下保存, 避免光照 |
| 规格 | 1 mg | 价格 | 3924 | |
| Ex (nm) | 563 | Em (nm) | 584 | |
| 分子量 | ~11000 | 溶剂 | Water | |
| 产品详细介绍 | ||||
简要概述
产品基本信息
货号:20509
产品名称:钙离子荧光探针Cal-590-Dextran Conjugate *MW 10,000*
规格:1mg
储存条件:-15℃避光防潮
保质期:24个月
产品物理化学光谱特性
分子量:~11000
溶剂:水
激发波长(nm):573
发射波长(nm):588
产品介绍
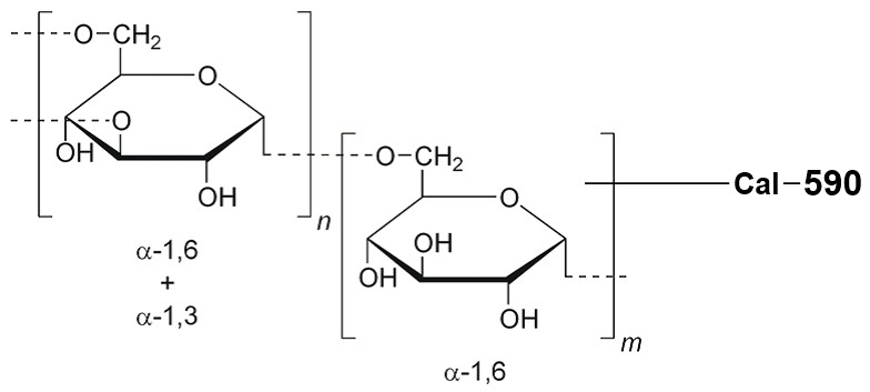
钙离子荧光探针Cal-590-Dextran Conjugate *MW 3,000*是美国AAT Bioquest生产的钙离子荧光探针,钙的测量对于许多生物学研究至关重要。 荧光探针显示结合钙的光谱响应,使研究人员能够通过荧光显微镜,流式细胞仪,荧光光谱和荧光酶标仪研究细胞内游离钙浓度的变化。 使用贴片移液管或显微注射,可以使用这些葡聚糖缀合的钙指示剂的细胞不渗透盐形式物理地加载细胞。 使用荧光显微镜测量来自这些细胞的荧光信号。 与AM酯形式相比,我们的钙指示剂的葡聚糖形式显示出泄漏和区室化的显着减少。 在荧光钙指示剂葡聚糖缀合物中,Cal-590葡聚糖缀合物可能是比其他红色荧光dextrtan缀合物更好的选择,因为其更高的荧光量子产率和更大的钙荧光增强。金畔生物是AAT Bioquest的中国代理商,为您提供最优质的钙离子荧光探针Cal-590-Dextran Conjugate *MW 3,000*。
点击查看光谱
钙离子篇:时间轴式讲解应用于钙离子检测的探针
参考文献
Behavioral role of the reciprocal inhibition between a pair of Mauthner cells during fast escapes in zebrafish
Authors: Takashi Shimazaki, Masashi Tanimoto, Yoichi Oda, Shin-ichi Higashijima
Journal: Journal of Neuroscience (2018): 1964–18
α V β 3 Integrin regulates astrocyte reactivity
Authors: Raúl Lagos-Cabré, Alvaro Alvarez, Milene Kong, Francesca Burgos-Bravo, Areli Cárdenas, Edgardo Rojas-Mancilla, Ramón Pérez-Nunez, Rodrigo Herrera-Molina, Fabiola Rojas, Pascal Schneider
Journal: Journal of Neuroinflammation (2017): 194
Ca 2+ signals initiate at immobile IP 3 receptors adjacent to ER-plasma membrane junctions
Authors: Nagendra Babu Thillaiappan, Alap P Chavda, Stephen C Tovey, David L Prole, Colin W Taylor
Journal: Nature Communications (2017): 1505
In vivo deep two-photon imaging of neural circuits with the fluorescent Ca2+ indicator Cal-590
Authors: Carsten H Tischbirek, Antje Birkner, Arthur Konnerth
Journal: The Journal of Physiology (2016)
Deep two-photon brain imaging with a red-shifted fluorometric Ca2+ indicator
Authors: Carsten Tischbirek, Antje Birkner, Hongbo Jia, Bert Sakmann, Arthur Konnerth
Journal: Proceedings of the National Academy of Sciences (2015): 11377–11382
相关产品
α V β 3 Integrin regulates astrocyte reactivity
Authors: Raúl Lagos-Cabré, Alvaro Alvarez, Milene Kong, Francesca Burgos-Bravo, Areli Cárdenas, Edgardo Rojas-Mancilla, Ramón Pérez-Nunez, Rodrigo Herrera-Molina, Fabiola Rojas, Pascal Schneider
Journal: Journal of Neuroinflammation (2017): 194
Ca 2+ signals initiate at immobile IP 3 receptors adjacent to ER-plasma membrane junctions
Authors: Nagendra Babu Thillaiappan, Alap P Chavda, Stephen C Tovey, David L Prole, Colin W Taylor
Journal: Nature Communications (2017): 1505
In vivo deep two-photon imaging of neural circuits with the fluorescent Ca2+ indicator Cal-590
Authors: Carsten H Tischbirek, Antje Birkner, Arthur Konnerth
Journal: The Journal of Physiology (2016)
Deep two-photon brain imaging with a red-shifted fluorometric Ca2+ indicator
Authors: Carsten Tischbirek, Antje Birkner, Hongbo Jia, Bert Sakmann, Arthur Konnerth
Journal: Proceedings of the National Academy of Sciences (2015): 11377–11382
