上海金畔生物科技有限公司代理AAT Bioquest荧光染料全线产品,欢迎访问AAT Bioquest荧光染料官网了解更多信息。
ReadiLink KLH偶联试剂盒
![]() |
货号 | 5502 | 存储条件 | Multiple |
| 规格 | 2 Reactions | 价格 | 2604 | |
| Ex (nm) | Em (nm) | |||
| 分子量 | 溶剂 | |||
| 产品详细介绍 | ||||
简要概述
ReadiLink KLH偶联试剂盒 是美国AAT Bioquest生产的KLH偶联试剂盒,钉形贝血蓝蛋白 (KLH)是一种常用的结合多肽的抗体产品载体。海洋生物养殖性钉形贝血蓝蛋白 (mcKLH) 是从海洋生贝壳类软体动物提取的血蓝蛋白与KLH免疫原性属性类似但作为载体蛋白生产的半抗原抗体和多肽更稳定和。它包含许多单元,使用活性胺基或活性羧基交联反应,有效结合每个分子肽和其他抗原。因此mcKLH是一个受欢迎的载体蛋白,mcKLH接合半抗原和其他不稳定的抗原生产更多免疫原性的抗体产品 。这一 ReadiLink™ KLH交联试剂盒首要是优化简单的半抗原载体轭合物免疫原性的抗体产品的制备。 ReadiLink™ KLH 交联试剂盒是一步法结合的半抗原载体蛋白,是羧基活性碳化二亚胺的交联剂。这一共轭形式被用于诱发免疫反应和半抗原的抗体生产。羧基活性碳化二亚胺与暴露在稳定的多肽和蛋白质表面的羧基和氨基基团反应。这一试剂盒包含 mcKLH和与之相配的缓冲溶液及兼容羧基活性碳化二亚胺反应和淡化旋转列,能恢复通过离心步骤的蛋白质源的形态。金畔生物是AAT Bioquest的中国代理商,为您提供优质的ReadiLink KLH偶联试剂盒。
产品说明书
样品实验方案
简要概述
1.准备蛋白质溶液
2.准备半抗原解决方案
3.将蛋白质与半抗原混合到EDC中
4.在室温下孵育反应2小时
5.通过脱盐来纯化缀合物
工作溶液配制
1. mcKLH溶液(10 mg / mL):
将200μLddH2 O加入到mcKLH(组分A)的小瓶中以制备10mg / mL溶液。 注意:mcKLH溶液通常呈半透明至白蓝色。 不要涡旋或加热溶液,否则会使载体沉淀。
2. Hapten工作溶液:
在450μL缀合缓冲液(组分B)中溶解最多2mg半抗原。 注意:一些半抗原可能具有有限的溶解度,使用DMSO(在最终的缀合溶液中≤30%)首先溶解它。 较高浓度的DMSO可能使载体蛋白不可逆地变性。
3. KLH-Hapten工作溶液:
将450μL半抗原溶液加入200μLmcKLH溶液中,得到KLH-Hapten工作溶液。
操作步骤
1.KLH-Hapten结合
1.1将一小瓶EDC(组分C,10mg)溶解在1mL ddH 2 O中,立即将50μL该溶液加入KLH-Hapten工作溶液中,轻轻混合。在室温下孵育2小时。通过脱盐纯化缀合物以除去未反应的交联剂和蛋白质防腐剂(例如叠氮化钠)。
1.2拧下脱盐柱(组件E)的底部盖子,然后松开盖子。将色谱柱放入收集管中。
1.3将柱以1,000g离心2分钟以除去储存溶液。
1.4取下盖子,慢慢地向柱子中加入1 mL纯化缓冲液。以1,000g离心2分钟,取出缓冲液。再重复此步骤3次,从收集管中丢弃缓冲液。
1.5将色谱柱放入新的收集管中,轻轻地将样品放入紧凑树脂床的中心。
1.6将柱以1,000g离心2分钟以收集样品。
1.7KLH-Hapten缀合物现在可用于免疫。如果KLH-Hapten缀合物要储存超过几天,则无菌过滤缀合物,并储存在4°C或-20°C。注意:如果在一周内使用缀合物,可以使用PBS进行纯化。如果缀合物将被冷冻,则使用纯化缓冲盐(组分D)进行纯化。如果在缀合中使用DMSO,则制备具有相同百分比的用于缀合的DMSO的纯化缓冲盐。这将使脱盐期间塔中的沉淀最小化。如果在缀合过程中形成沉淀,则将沉淀的材料离心,收集上清液并保存沉淀物。净化上清液。将沉淀物与纯化的缀合物合并。
数据分析

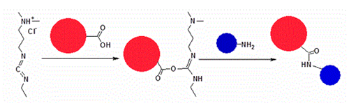
| 图1.EDC与载体蛋白BSA或KLH(由红球代表)的羧基反应,形成胺反应性O-酰基异脲中间体(中心分子)。 O-酰基异脲中间体与由较小的蓝色球代表的抗原分子上的胺基反应,产生通过稳定的酰胺键连接的两个分子的缀合物[请注意O-酰基异脲中间体也易于水解]。 |
参考文献
Optimization of the preparation process of vinblastine sulfate (VBLS)-loaded folate-conjugated bovine serum albumin (BSA) nanoparticles for tumor-targeted drug delivery using response surface methodology (RSM)
Authors: Zu Y, Zhang Y, Zhao X, Zhang Q, Liu Y, Jiang R.
Journal: Int J Nanomedicine (2009): 321
Characterization of bovine serum albumin glycated with glucose, galactose and lactose
Authors: Ledesma-Osuna AI, Ramos-Clamont G, Vazquez-Moreno L.
Journal: Acta Biochim Pol (2008): 491
Improvement of functional properties of bovine serum albumin through phosphorylation by dry-heating in the presence of pyrophosphate
Authors: Enomoto H, Li CP, Morizane K, Ibrahim HR, Sugimoto Y, Ohki S, Ohtomo H, Aoki T.
Journal: J Food Sci (2008): C84
Polyethylene glycol improves conjugation of bovine hemoglobin and human serum albumin in a controlled ratio
Authors: Zheng C, Bi J, Ma G, Su Z.
Journal: Artif Cells Blood Substit Immobil Biotechnol (2007): 568
Purification of denatured bovine serum albumin coated CdTe quantum dots for sensitive detection of silver(I) ions
Authors: Wang JH, Wang HQ, Zhang HL, Li XQ, Hua XF, Cao YC, Huang ZL, Zhao YD.
Journal: Anal Bioanal Chem (2007): 969
Effect of lyophilization on the structure and phase changes of PEGylated-bovine serum albumin
Authors: Tattini V, Jr., Parra DF, Polakiewicz B, Pitombo RN.
Journal: Int J Pharm (2005): 124
[Preparation of bovine serum albumin nanoparticles surface-modified with glycyrrhizin]
Authors: Mao SJ, Hou SX, Zhang LK, Jin H, Bi YQ, Jiang B.
Journal: Yao Xue Xue Bao (2003): 787
[Products of spontaneous conjugation of aflatoxins with bovine serum albumin: immunochemical properties]
Authors: Burkin AA, Kononenko GP, Soboleva NA.
Journal: Prikl Biokhim Mikrobiol (2003): 228
Generation of polyclonal antibody against mu-conotoxin GIIIA using an immunogen of [Cys(5)]mu-conotoxin GIIIA site-specifically conjugated with bovine serum albumin
Authors: Nakamura M, Oba Y, Mori T, Sato K, Ishida Y, Matsuda T, Nakamura H.
Journal: Biochem Biophys Res Commun (2002): 1037
Mice vaccinated with the O-antigen of Francisella tularensis LVS lipopolysaccharide conjugated to bovine serum albumin develop varying degrees of protective immunity against systemic or aerosol challenge with virulent type A and type B strains of the pathogen
Authors: Conlan JW, Shen H, Webb A, Perry MB.
Journal: Vaccine (2002): 3465
相关产品
| 产品名称 | 货号 |
| ReadiLink BSA偶联试剂盒 | Cat#5501 |
