上海金畔生物科技有限公司代理AAT Bioquest荧光染料全线产品,欢迎访问AAT Bioquest荧光染料官网了解更多信息。
- 产品参数
- 产品详情
产品详情
Product details
iFluor™ 488 TCO

简要概述
产品基本信息
货号:1005
产品名称:iFluor™ 488 TCO
规格:1 mg
储存条件:-15℃避光防潮
保质期:12个月
产品物理化学光谱特性
分子量:856.79
外观:固体
溶剂:DMSO
Ex(nm):491
Em(nm):516
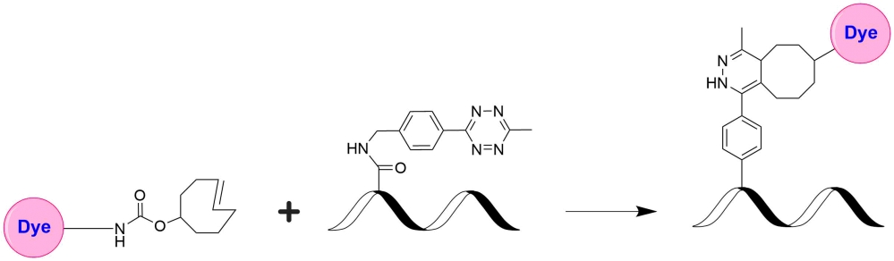
产品介绍
TCO的连接构成了快速无毒的生物分子标记方法。四嗪功能化的分子与TCO功能化的分子反应,通过二氢吡嗪部分形成稳定的结合物。由于其极快的动力学,它已获得普及。AAT Bioquest提供了一组含四嗪和TCO的染料,用于探索可以利用这种强大点击反应的各种生物系统。iFluor™488-TCO可以轻松用于标记四嗪改性的生物分子,用于荧光成像和其他基于荧光的生化分析。与荧光素衍生物(例如FITC)的缀合物相比,使用iFluor™488染料制备的缀合物要优越得多。iFluor™488缀合物比荧光素缀合物明显更亮,并且光稳定性更高。此外,iFluor™488的荧光不受pH(4-10)的影响。这种pH不敏感性是对荧光素的一个重大改进,荧光素仅在pH高于9时才发出 荧光。iFluor™488具有类似于AlexaFluor®488的光谱特性,在某些情况下,它显示出更明亮的信号(AlexaFluor®是Invitrogen的商标)。
